概述
机械原理那门课,也就是theory of machines and mechanisms,它属于高等本科院校机械类专业里的一门核心性质的专业基础课,这门课程具备基础课理论性很强的特性,同时工程实践特色十分显著,它还是一门理论跟工程实践结合得极为紧密的课程。

机械原理课程内容
机械原理是研究学科机械设计制造及其自动化大学排名,该学科研究机械里机构的结构,以及机构的运动,还研究机器的结构,机器的受力情况,机器的质量,机器的运动。这一学科的主要组成有机构学机械设计制造及其自动化大学排名,还有机械动力学。人们通常将机构与机器合起来称作机械。
知识原理
简图所示的演示装置机构,其传动呈现为一种状态,该演示所具备的装置,在整体方面采取的是以对称式作为特征的结构,构成这种结构的原理是,有两个或者数量比两个更多的构件,借助活动联接的方式,达成规定运动的组合体,而机器是由一个或者数量比一个更多的机构所构成,起到的作用是进行有用功的操作,或者完成机械能与其他形式能量之间的转换。

演示装置机构传动简图装置设计
传动效率的设计计算及机电功率的确定
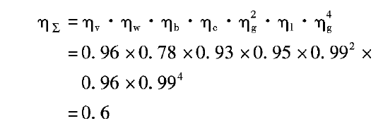
依据下面所呈现的简图表现,各个传动链的传动动力分别如下:V 带传动的数值为 0.96;进行选取。
V等于0.96,双头蜗杆传动的范围是0.75至0.82,从中选取较小值为0.78,圆锥齿轮传动在干油润滑的情况下范围是0.92到0.95,选取值为0.93,圆锥齿轮传动在干油润滑的情况下范围是0.94至0.96,选取值为0.95,链传动在滚子链的情况下是0.96,选取值为0.96,滚动轴承在球轴承、稀油润滑的情况下是0.99,选取值为0.99,滑动轴承在正常润滑的情况下是0.97,选取值为0.97。其传动功率的分配如下:

计算总传动效率:

对于本装置,设Nlz =N2z =N2z=N3z;
1=
2=
3。
从机构传动简图可知,N1z的传动效率
’1=
h·nh=nh3=0.97~3=0.91 =
2 =

一、以学生为中心的机械原理课程教学改革的必要性
以学生作为中心所开展的机械原理课程,最为关键的要点在于,要让学生在牢牢掌握对应的基础理论,并且能够适应相关技能要求的基础之上,尽可能充分地培养学生去解决实际问题的综合能力水准。从目前当下的机械原理课程具体教学状况来进行分析,虽然在理论与实践相互结合这件事情层面上取得了些许一定意义上还较为不错的成效,然而总体而言依旧相对仍旧比较地薄弱,进而致使学生的综合素质没办法得不到应有的提升。所以因此,理应适配适应“中国制造2025”这一战略规划目标,对于推动以学生为中心的机械原理课程教学改革这件事情的必要性有足够清醒的理解以及认识。
推动以学生为中心的机械原理课程教学改革,利于进一步提高该课程教学水平。特别是于创新机械原理课程教学模式方面,能发挥更积极作用。像有的高校开展机械原理课程教学时,更高度重视培养学生综合素质,既重理论素养提升,又重实践能力培养。为让学生深入理解机械原理并应用于具体实践中。推动以学生为中心的机械原理课程教学改革,还利于进一步优化完善教学机制。比如为充分发挥学生创新能力,有的高校更高度重视机械原理课程设计应用,涵盖自主选题、确定设计方案、计算机动态模拟、制作实物模型、进行尺寸综合与计算机性能分析、编写说明书并答辩等多方面,进一步强化学生自主学习、互动探究及综合提升,使机械原理课程教学机制更完善。推动以学生为中心的机械原理课程教学改革,也利于进一步强化教学模式创新。例如有的教师教学时,更重视以学生为中心,还优化教学方法,不断强化信息技术应用,让学生对机械原理课程理解能力更强,进而促进机械原理课程质量和水平显著提升。
二、以学生为中心的机械原理课程教学改革的优化对策
创新机械原理课程教学理念
进步的灵魂在于创新,行动的先导乃是理念。于推动机械原理课程教学改革,且是以学生为中心进行改革的进程里面,要更进一步地创新机械原理课程的教学理念,更看重以学生为中心的原则,尽力去培养学生的综合素质,推动学生全面发展。这就要求在开展教学期间,要基于机械创新设计的理念,更重视去培养诸如学生综合运用知识的能力、创新设计的能力、独立思考的意识、终生学习的能力以及自主学习的能力等工程素养。
切实进入具体的实施进程里,需采用“项目教学法”的形式,促使综合运用知识能力、创新设计能力、独立思考意识、终生学习能力以及自主学习能力等工程素养课程设计题目的更迭创新,让学生自行组成队伍,依据自身特性来挑选题目,题目选定之后逐个开展系统方案的创新设计、机构实现、机构分析及计算、模型制作。创新机械原理课程教学理念一流范文网,同样要求教师于教学进程中进一步优化并完善教学机制,更要着重培育学生的自主学习、合作学习、互动探索能力。
完善机械原理课程教学体系
完善且健全的机械原理课程教学体系构建,对推动机械原理课程教学革新有着颇高的支撑效能。这便要求高校要为机械原理课程教学改革营造优良的条件,与此同时,理应引导教师在机械原理课程教学改革这方面施展自身的积极效能。进一步健全并完善机械原理课程教学资源体系建设,从最前沿技术着手,对相关内容展开有效融合,像工程建模分析软件Matlab、PRO/E、Adams以及Matlab/Simulink,在机械原理课程设计里应与图解法相结合,进而引导学生运用建模分析软件来进行学习,开展研究,进行探究。完善机械原理课程的教学体系,同时进一步提高重视针对教学资源展开系统性整合,尤其是针对现有的教学资源予以优化以及完善,强化调查研究以及分析论证,找出对机械原理课程教学有效性形成制约的因素。
针对性的因素,与此同时,高校之间理应切实加大战略合作力度,共同促使机械原理课程教学改革得以推进,像是常常举办机械原理课程教学方面的座谈会、研讨会之类的活动,在这些活动中,教师之间能够进行相互学习以及借鉴,从而有效地推动机械原理课程教学改革朝着纵深方向发展。
优化机械原理课程教学模式
想要让机械原理课程教学改革收获更为显著的突破,那就得在优化机械原理课程教学模式这个层面,投入更多的精力,全力促使机械原理课程教学改革带有相当强的综合性、系统性以及效能性。在具体开展实施的进程当中,应当积极推行“互联网 + 机械原理课程教学”这种模式,扎实深入信息技术、网络技术、智能技术的运用,进一步提升教学效率,与此同时,也需要对教学方法予以融合。使用大数据技术,针对学生学习情况展开深入调查,分析找出制约学生学习投入的问题和因素,再找出制约学生接受能力的问题和因素,然后据此有针对性地优化并且完善。机械原理课程教学中,多媒体PPT、“微课”等要广泛应用,应用多媒体PPT时,应更注重直观性、演示性以及趣味性,且要采用“问题导入”方式,把问题逐步引向深入,让学生持续分析、研究,最终得出结论,这对培养学生分析问题、解决问题能力有很强支撑作用。要优化机械原理课程教学模式,还要着重培养学生自主学习能力,像把“对分课堂”以及“雨课堂”等运用到机械原理课程教学里,构建起“线上”跟“线下”相互结合的教学模式,这能够起到相当不错的引导作用。
名师辅导
环球网校
建工网校
会计网校
新东方
医学教育
中小学学历